位置:招生代理网 >> 新闻资讯 >> 图片新闻 >> 信息

中戏2018艺考成绩出炉 易烊千玺专业排名第一

2025/12/15

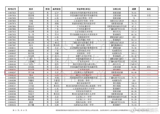
今天中央戏剧学院公布2018年艺术类考试合格名单,其中话剧影视表演专业中易烊千玺以94.85分排名全国第一,李兰迪 以94.48分排名女生第一,全国第二,胡先煦 94.4分,均超过合格分数线(60分)30多分,恭喜三位准大学生!